- 周波数標準器及び10MHz標準周波数発振器とワードクロックジェネレーター(デジタルオーディオ用及びアマチュア無線用)は、密接な関係があります。
- 先ず、周波数標準器の性能を表示し、次に10MHz標準周波数発振器となりますOCXO及びルビジウム発振器の性能を表示し、その相違を認識します。
- 次に、この10MHz標準周波数を利用するワードクロックジェネレーターの性能を確認し、SNRが適合する機器を選定します。
- 光ポンプ式セシウムビーム周波数時間標準器(OPCFS)を使用した場合の音像定位の移動は、24時間経過しても数mm以内に納まります。(但し、一定の周囲温度))
- 磁気偏向式セシウムビーム周波数時間標準器(MGCFS)を使用した場合の音像定位の移動は、24時間経過しても数十mm以内に納まります。(位相変動が、5ns/24h以内(但し、一定の周囲温度))
- 参考として、Rb-OSCの位相変動は、200ns/24h以内(但し、一定の周囲温度)です。
- Rb-OSCは、離隔1Hzの位相雑音が、-100dBc/Hz前後から-117dBc/Hz迄であり、デジタルオーディオ用として位相雑音条件を満たしていません。
- BVA OCXOを使用した場合の音像定位の移動は、24時間経過しますと、最悪の場合は数百mm程度になる可能性があります。
- OCXOを使用した場合の音像定位の移動は、そのグレードにより24時間経過しますと、最悪の場合は、数m以上になる可能性があります。(Rakon社製の高性能BVA OCXOの使用が望ましい)
- デジタルオーディオに使用します周波数標準器に関して、AHM(アクティブ水素メーザー)のLPNバージョン及びSrOLC(ストロンチウム光格子時計)以外は全て位相同期発振器(PL-OSC)の併用が必須になります。
- セシウムビーム周波数標準器に関して、磁界偏向式セシウムビーム時計(MGCFS)と光ポンプ式セシウムビーム時計(OPCFS)があります。
- 現在、全世界の周波数時間標準器として、一般的に使用されています保証寿命が5年の磁界偏向式高性能セシウムビーム管を使った旧HP社製5071A001及び、現Microsemi社製5071A-C001, 5071B-C001があります。この周波数時間標準器は、5年毎に定期メンテナンスとして、磁界偏向式高性能セシウムビーム管交換及び、交換時の調整等が必須となります。但し、現在では、光ポンプ式セシウムビーム時計(OPCFS)へ置き換わりつつあります。
- 周波数時間標準器用の旧HP社製5071A001に置き換わる光ポンプ式セシウムビーム時計はOscilloquarz社製の3300HP及び3300SHPとArctitech社製のTA1000-HPがあります。
- 光ポンプ式セシウムビーム時計は、10年間以上略メンテナンスフリーの長寿命・高信頼性があり、周波数安定度及び確度がMGCFSより略一桁優れた周波数時間標準器です。
- 光ポンプ式セシウムビーム時計で周波数時間標準器となりますOscilloquarz社製の3300HP及び3300SHPとArctitech社製のTA1000-HPのFloorの安定度及び確度は、5E-15になります。
- 光格子時計として、島津製作所から2025年に世界で初めて商品化されたストロンチウム光格子時計Model: Aether clock OC020の安定度及び確度は、5E-18です。


表1.周波数標準器一覧表
- 10MHz標準周波数に関して、これ等の周波数標準器は、AHM LPNバージョン及びSrOLCを除いて離隔1Hzの位相雑音値が、-120dBc/Hzに未達です(5MHzの場合は、この値から更に、-6dB追加)ので、外部へ位相同期発振器(PL-OSC)を併用する必要があります。
- PL-OSC単独のADEVは、3E-13ですが、接続します周波数時間標準器(MGCFS又はOPCFS)により実際のFloorのADEV値5E-14又は5E-15になります。

表2.位相同期発振器一覧表
- 位相同期発振器を利用します10MHz標準周波数の出力の位相雑音が適正な数値になった事を確認します。
- 10MHz標準周波数発振器に要求します位相雑音の数値は、離隔1Hz及び10Hzに於いて-120dBc/Hz未満になります。



表3.10MHz標準周波数発振器一覧表
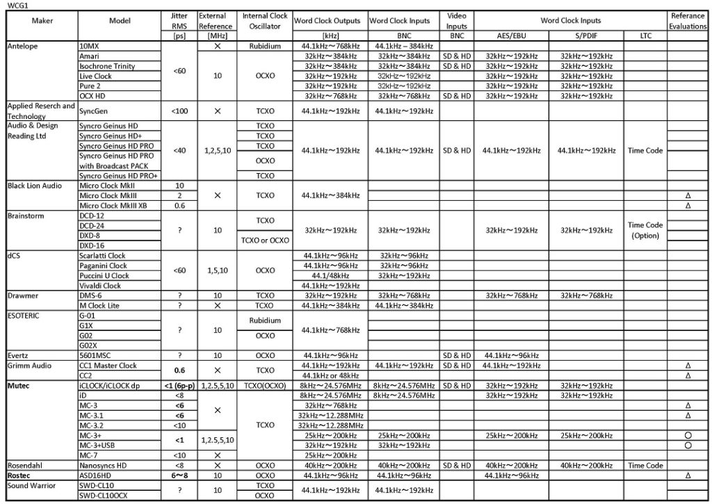
- ワードクロックの重要な事は、ジッターが7ps未満で且つ、10MHz標準周波数入力がある製品の選択が望ましい事です。これは、SNRに直接関連すると同時に良い音にする為にも必要な事項です。


表4.ワードクロック一覧表
- ジッターとSNR及び使用しますBitsの関係を以下の表に示します。
- 音声帯域が最大20kHzの場合に、SNRが120dB以上になるワードクロックのジッターの必要値7ps以内が決まります。
- 但し、Bitsとジッターの関係は、廃棄用劣化版HiFiのDSDでは問題になりますが、PCM使用時には関係がありません。ここでも明らかになりましたDSDが極めて劣る主な要因の一つです。
- PCM使用時にはジッターが、7ps以内ですと、SNRが120dB以上になります。

表5.ジッター、Bits 及び SNRとの関連表
- 御質問等に関しましては、御手数で御座いますが、ja2gxu@cpost.plala.or.jp (@ → @)へ御連絡頂く様御願い申し上げます。