- 表1.に示す周波数標準器類は、従来型の磁気偏向式セシウムビーム周波数標準器(MGCFS)、光ポンプ式セシウムビーム周波数標準器(OPCFS)、アクティブ水素メーザー周波数標準器(AHM)及び、ストロンチウム光格子周波数標準器(Sr OLC)の仕様値の一覧表です。特に、OPCFSの3300-HP及び、3300-SHPは、世界で標準的に採用されてきましたMGCFSのHP5071A001の置き換え品になります。
- 10MHz標準周波数発振器の仕様値比較及び選定の為の参照用データになります。


表1.周波数標準器一覧表
- 10MHz標準周波数に関して、これ等の周波数標準器は、AHM LPNバージョン及びSrOLCを除いて離隔1Hzの位相雑音値が、-120dBc/Hzに未達です(5MHzの場合は、この値から更に、-6dB追加)ので、外部へ位相同期発振器(PL-OSC)(DFS)を併用する必要があります。
- PL-OSC単独のADEVは、3E-13ですが、接続します周波数時間標準器(MGCFS又はOPCFS)により実際のFloorのADEV値は、5E-14又は5E-15になります。

表2.位相同期発振器(PL-OSC)(DFS)一覧表
- 位相同期発振器を利用します10MHz標準周波数の出力の位相雑音等が適正な数値になった事を確認してから運用します。
- 10MHz標準周波数発振器について
- 10MHz標準周波数発振器に要求します位相雑音の数値は、離隔1Hz及び10Hzに於いて-120dBc/Hz未満になります。
- 但し、特例としてRb-OSCの場合の位相雑音の要求値は、離隔1Hzに於いて-115dBc/Hz未満であり、離隔10Hzでは、-120dBc/Hz未満になります。
- これ等の位相雑音の要求値は、自然な音及びノイズフロアレベルが無雑音になる為の必須条件です。
- 昨今でも、これ等の必須条件を提示せずに論議する極めて低レベルのオーディオの専門家、オーディオ評論家、オーディオ技術者、マスタリングエンジニア等が存在します。この行為は詐欺同様にもなります。雑誌等に執筆し投稿した場合も、原稿料が支払われますので、それなりの責任がありますが、詐欺同様の表現の記載では無責任過ぎます。
- 上記の条件を満足する調査した限りとなる現在入手出来ます低位相雑音のRb-OSCは、Quartzlock社製のA1000-Op-C、A1000A-Op3、E10LN-Op3、A10-M-Op-Dの1社4製品のみです。不思議な事にこれ等の製品を具体的に表示し説明した記事等は、現在迄に全く存在しません。
- 従いまして、現在迄に、Rb-OSCについてデジタルオーディオ用として具体的に云々された方々は、総て詐欺同様となります。(例として、S社のK氏及びN社のO氏も同様です)
- この様な批判を避ける為には、一般的なRb-OSCを使用した場合は、「二次標準の周波数標準」である事及び、「音像定位の移動が一般的なOCXO/TCXOと比較し十分の一から千分の一程度の音像定位の移動で済む」更に、「SNRの改善は期待出来ない」又は、「SNRは、-90dB程度迄で無雑音化は期待不可能である事」等を明記すべきです。
- Rb-OSC及びBVA-OCXO等には、特有の位相変動特性があります。
- 周囲温度一定の場合の24時間の位相変動に関して、セシウムビーム周波数標準器(CFS)では、最大5ns/24h以内ですが、Rb-OSCでは、最大200ns/24h以内であり、40倍の差があります。この意味は、Rb-OSCを使用した場合の音像定位の移動は、オーケストラがスケートリンク上で極めてゆっくりと滑走しながら演奏しているのと同等です。(音像定位の移動は、ヘッドフォンで判定可能)
- 周囲温度一定の場合の24時間の位相変動に関して、BVA-OCXO 8607-8では、最大200㎱/24h前後でRb-OSCと略同等です。但し、周波数変動を含む条件では、最大1000㎱/24h前後になり、Rb-OSCの5倍、CFSの200倍となります。
- 位相変動に関して、一般的なOCXO/TCXOでは、上記のRb-OSC及びBVA-OCXOと比較し10倍から1000倍以上劣化します。



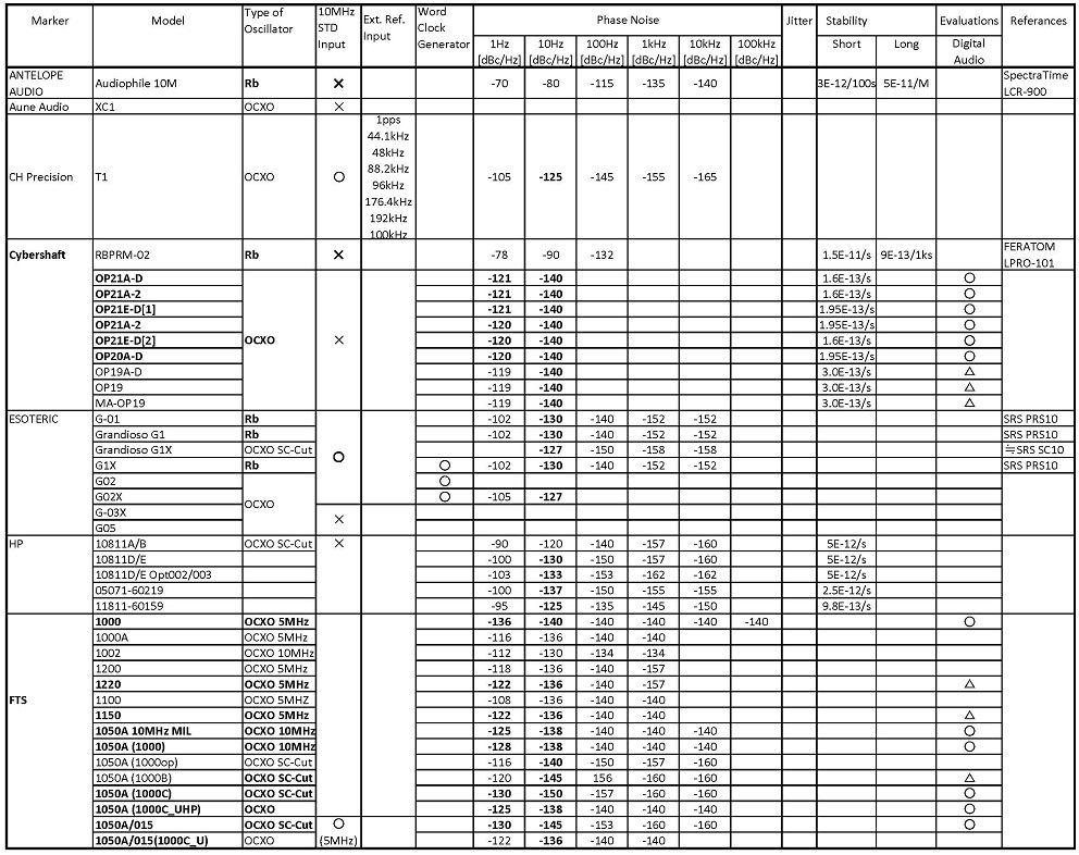
表3.10MHz標準周波数発振器(Rb-OSC及び、OCXO(BVA含む))一覧表
- ワードクロックの重要な事は、ジッターが7ps未満で且つ、10MHz標準周波数入力がある製品の選択が望ましい事です。これは、SNRに直接関連すると同時に良い音にする為にも必要な事項です。


表4.ワードクロック一覧表
- ジッターとSNR及び使用しますBitsの関係を以下の表に示します。
- 音声帯域が最大20kHzの場合に、SNRが120dB以上になるワードクロックのジッターの必要値7ps以内が決まります。
- 但し、Bitsとジッターの関係は、廃棄用劣化版HiFiのDSDでは問題になりますが、PCM使用時には関係がありません。ここでも明らかになりましたDSDが極めて劣る主な要因の一つです。
- PCM使用時にはジッターが、7ps以内ですと、SNRが120dB以上になります。

表5.ジッター、Bits 及び SNRとの関連表
- 御質問等に関しましては、御手数で御座いますが、ja2gxu@cpost.plala.or.jp (@ → @)へ御連絡頂く様御願い申し上げます。